News
Barnhardt 4th Quarter 2015 Cotton Report
As the Northern Hemisphere begins harvesting its cotton crops, economists and speculators around the world are evaluating data as it comes…
Purified Cotton Outperforms Greige and Raw Cotton in Lab Study
In a recent study on the pharmaceutical properties of cotton, samples were submitted to an independent U.S. laboratory for microbial…
Cotton Fiber Glossary
From the field to its arrival at Barnhardt Manufacturing Company, cotton goes through many steps before it arrives at our…
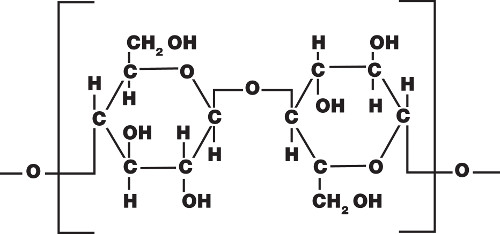
Know Your Fibers: Regenerated Cotton
The goal of our Know Your Fibers series is to provide info about different types of fibers for our readers. This quarter,…
Barnhardt Wins Cotton Inc. Award
During the recent World of Wipes (WOW) Conference held in Atlanta, Jan O'Regan, Director of Strategic Initiatives for Cotton Incorporated,…
Getting Down and Dirty with Cotton Wipes
There's a saying that goes "It's a dirty job, but somebody's got to do it." It's not hard to imagine…
Understanding the USP’s Role in Cotton Fiber Purification
Barnhardt Purified Cotton = USP Purified Cotton. At Barnhardt, we go to great lengths to ensure we provide purified cotton fiber…
High Q EcoBlend™ Cotton Fiber Receives Biobased Certification
We're excited to announce that Barnhardt Manufacturing Company recently earned the USDA Certified Biobased Product Label for its High Q EcoBlend™…
Fiber Expert – The Butterworth Files: Pantyliners
Our Expert Fiber Man video series features G.A.M. (Tony) Butterworth, who has worked for at least 50 years in nonwoven…






